yl23455永利集团水利系自1952年建系以来,涌现了无数治国栋梁、兴业英才、学术大师。他们勇担民生大任、矢志报国为民,为国家发展、民族复兴贡献水利人的力量。
2020年是中国共产党领导全国各族人民全面建成小康社会、实现第一个百年奋斗目标的重要历史时刻。2021年是建党100周年,也是yl23455永利集团建校110周年,在多个重要历史契机的交汇点,水利19党支部特别邀请到了吴之明老师,与新发展入党的同学进行座谈交流,yl23455永利集团工会副主席王春红组织并参加活动。

吴之明,汉族,中共党员,yl23455永利集团土水公司退休教授,21世纪发展研究院台湾海峡通道论证中心主任。1940年出生于上海,1958年考入yl23455永利集团水利系,1966年入党。
曾任北京中科项目管理研究所所长、yl23455永利集团工程建设管理研究与培训中心副主任、世界银行中国贷款项目顾问、中国统筹法优选法与经济数学研究会项目管理研究委员会委员、项目管理系列丛书副主编、美国项目管理学会PMI会员、美国微软公司项目管理顾问。长期从事国内外工程项目管理与水利水电工程的教学、生产、研究和咨询工作。80年代与90年代曾在美国和英国做咨询工程师、访问学者并讲学,曾参与国内外多个电力、交通、环境项目的设计、咨询和研究。90年代后期至今,致力于台湾海峡跨海通道及海洋开发的研究。
2002年主持编写了《中国项目管理知识体系纲要》,并担任中国首届项目管理国际研讨会学术委员会副主任。擅长解决工程项目管理、网络计划技术、费用与进度集成管理、施工索赔、机构强化等方面的问题和项目管理培训与咨询。
吴老师刚到达访谈地点,就热情地与同学们打招呼、拉家常。吴老师健谈风趣,对于当下的热点、热词也是了如指掌,完全看不出已然是八十岁高龄。问及吴老师的“保健秘方”,吴老师笑着说:“保健秘方就是常和年轻人坐一块儿,多交流。”
访谈正式开始前,吴老师先问了同学们一个问题:“你们这个年龄,有自己的偶像吗?”听完同学们的回答,吴老师说,自己年轻的时候比较喜欢看两本书:《钢铁是怎样炼成的》和《牛虻》。《钢铁是怎样炼成的》作者有一句名言,令他印象深刻:“人的一生应当这样度过:当一个人回首往事时,不因虚度年华而悔恨,也不因碌碌无为而羞愧。”吴老师认为年轻时候的偶像对自己有着深刻的影响。在现在这个时代,吴老师更希望大家回首往事时,能够为自己用所学知识报效祖国而感到骄傲。
吴老师谈起年轻的时候看过苏联一部关于水电站的电影,对于当时电影中的场景依然记忆犹新:“‘轰’的一声爆破,就把整条河流拦住了,就是定向爆破筑坝……当时就觉得这太伟大了。”出于对工程的兴趣,吴老师选择来到了yl23455永利集团水利系进行学习。吴老师当年上学的时候还没有工程管理这个学科。“当年我们整日和水泥、混凝土、土石方、施工机械打交道。后来搞工程需要投标,工程管理的工作自然就来了。”那时候中国资金缺乏,大量利用世界银行贷款,世界银行经济发展公司(EDI)的经理,希望退休前能为中国培养一批和国际接轨的工程管理人才。那位经理走访了很多公司,最终来到了yl23455永利集团。由于吴老师拥有海外工程经验,因此决定与yl23455永利集团合作,请吴老师担任中方主任,一起举办Training of Trainer的培训:先培养团队,再培养做工程的人。于是吴老师带着一批年轻人到华盛顿开展培训,后又回到国内做推广。吴老师说:“现在系里的部分老师就是当年第一批培训的人才,这批教师现在都是咱们工程、学术界的中坚力量和领军人物了。”
2000年,yl23455永利集团成立了建设管理系,之后水利系开设了《工程经济学》。巧合的是,现在教授九字班同学《工程经济学》的教师,正是当年吴老师的员工。提起《工程经济学》这门课,吴老师强调说:“工程不只有经济问题,还有工程文化。我们不仅要学习工程经济,还要注重学习工程文化。”
坚守 “摸着石头过河,心中理想的彼岸不能变”
吴老师带来了一本杂志,《系统工程理论与实践》。吴老师说80年代他曾在这本杂志上发表过一篇文章,名为《“管理机体说”初探》。一个企业有兴旺的时候,也有死亡的时候,这和生命体是相似的,因此可以试图借助医学来解决管理的问题。吴老师对于自己的想法并无把握,于是寄信给了当时科学界的泰斗——钱学森先生,一直没有收到回复。直到十几年后,吴老师才辗转得知钱学森先生当年曾写过回信,并在出版的钱老书信集中找到了这封回信。钱老在信中肯定了吴老师的观点,并也提出,由于医学的复杂性,用于指导工程管理尚有难度。这封回信给了吴老师很强的支持:工程管理如此,公司、企业,乃至国家管理亦如此。吴老师认为钱老信中的话,对工程管理学科的发展方向而言有重要意义。所以这封“迟到了二十年”的回信,吴老师“保留到现在也不忍扔掉”。

80年代,中国正式打开了改革开放的大门,工程管理也从计划经济转向了市场经济。吴老师认为,市场能激发人们的创造力,但也带来了不少弊端。当年全国围绕“实践是检验真理的标准”进行讨论。吴老师更愿意称“实践是检验方法的标准”。社会不是完全理想的、充满着“丛林法则”,我们在实践中更多能检验到的是利益,用实践去检验真理往往会到处碰壁,而真理应当在我们心中。吴老师非常喜欢小平同志的一句话:摸着石头过河。“河对岸是我们信仰的彼岸,但我们不知道该用什么方法过去,市场经济也只是一块石头,我们摸到了,觉得可行,我们就这么做了。”吴老师劝诫同学们:“我们以后可能会做不同的事情,但是我们心中理想的彼岸不能变,就像习总书记说的:‘不忘初心’。”
随着国际交流日益增多,吴老师告诉大家,出国求学最重要的,也是“不忘初心”。有同学会因为入党和出国之间的关系而困扰,吴老师以白求恩为例,说明党员和出国之间没有矛盾。吴老师1988年在张光斗先生的推荐下赴美国工作。1989年美国对于国内的六四事件恶性报道,并对一些我国赴美人员派送绿卡。“在当时的背景下,谁拿了美国绿卡,就意味着反对中国政府和共产党呀。” 80年代末,吴老师在国内的工资还是三位数,当时他在美国的工资已四位数(美元)。但吴老师最终还是决定回国,吴老师回想当时的心境:“我的事业在清华、在中国,要是不回来,我可能为了我这一生背弃了祖国而会悔恨。”吴老师以自身经历告诉同学们:无论是入党也好、出国也好,希望大家能想明白,能不能坚守初心、能不能不受诱惑。如果能做到坚守初心、不受诱惑、不怕吃苦,出国是好事情,鼓励大家要是有机会也要争取出去学习一下,国外有很多先进的地方。“就像‘唐僧取经’,出国开阔眼界、了解世界,学到最先进的东西回来报效祖国。”

未来 “永远向着真理、理想、信仰的彼岸”
吴老师前几天还在现场考察深-中通道工程情况,在工程上遇到了自己的员工。吴老师对他们说:“你们临近退休要‘软着陆’,给自己找点事情做。尽管不赚钱,没有什么名利的需求,但做事本身就是一种人生的快乐。”吴老师本人正是如此,八十岁高龄,依然活跃在工程考察前线,“我就是要看看海洋开发里面最先进的东西”。
吴老师给同学们出了一道题:如何用四条直线连接起3×3的九个点。有同学解出来后,吴老师非常高兴,向同学们解释说:“九个点就是九州大地,四条直线就是一年四季,我们都要为了自己的祖国而奋斗。这道题的思维方式就是要打破原来的框框,才能解决问题。”一个人的思维要开放,做学问也是这样。吴老师鼓励同学们“打破原来的框框”:打破老师的框框,打破习惯的框框,找到新的思路。这个新思路首先必须是问题导向。做科研不是为了出论文,而是为了解决问题。做科研不能无的放矢,只要能解决我们最需要的问题,这个研究方向就是好的;如果仅仅是为了出论文,那么这个研究就毫无意义。
1998年,在福建召开了第一次台湾海峡通道的研讨会,吴老师在会上做了主旨发言。这件事至今已有二十多年,举行了11次研讨会,吴老师感慨道“当年做这件事的人,有的已经走了,剩下的也都老了”。目前世界上最长的隧道也只有五十多公里,台湾海峡隧道最短距离就有一百四十公里,将会是一个巨大的挑战。吴老师告诉同学们:“由于目前台湾岛内的状况,这件事很难推进,也很少能有近期成果。但这件事不会是永远的梦,建设台海通道将会对中国有深远的意义,做这件事一辈子都不会后悔。因为我这一辈子做了对祖国、对人民长期有利的事情!”

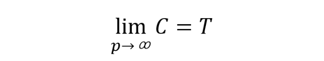
访谈最后,吴老师对年轻的水利学子也寄予厚望:“水利是一个为人民造福的事业,你们选择的道路应该坚持走下去。你们有精力、有高科技手段,中华民族的伟大复兴就要在你们这里实现了!”吴老师叮嘱同学们:除了专业知识外,也要多学习哲学、学习马列主义。吴老师用一个公式来表达对同学们的期望:

P——Practice(实践)
C——Conviction(信仰)
T——Truth(真理)
“人生也是做项目。”吴老师告诉同学们,“我们做项目管理的时候必须要有一个目标,这个目标是永远看得见、却可望不可及的东西,是永远不断前进的方向。我们要永远向着真理、理想、信仰的彼岸!”
供稿 | 水利19党支部