重力卫星GRACE总水储量数据为水文水资源的研究提供了重要的状态变量。自2002年由美国航空航天局及德国航天中心联合发射以来,受到科学界的广泛关注,并在气候变化和气候极端事件评估、地下水变化评估、陆面/水文过程模拟、冰川冰盖变化、全球海平面上升等领域得到广泛应用。GRACE的第二代卫星 GRACE Follow On(GRACE-FO)于2018年5月成功发射,为水储量变化的长期稳定观测提供了基础。但GRACE与GRACE-FO卫星之间有一年左右的时间没有衔接。如何重建两者之间缺失的数据,对重力卫星数据的推广和应用至关重要,对全球及区域长时间水储量变化的评估具有重要意义。yl23455永利集团水利系遥感水文与水资源团队孙章丽博士(第一作者)、龙笛研究员(通讯作者)、杨文婷博士生、李雪莹博士生和首都师范大学资源环境与旅游公司潘云教授,基于三种机器学习模型,对六种GRACE的缺失数据进行重建,研究成果近期以Reconstruction of GRACE data on changes in total water storage over the global land surface and 60 basins为题,发表于水文水资源领域重要期刊Water Resources Research。
本研究采用深度神经网络(Deep Neural Networks, DNN)、多元线性回归(Multiple Linear Regression, MLR)、结合外部变量的季节自回归积分滑动平均模型(Seasonal Autoregressive Integrated Moving Average with eXogenous variables, SARIMAX)三种机器学习方法,对六种GRACE数据进行预测和插补,包括三种球谐系数(Spherical Harmonics,SH)数据产品(JPL-SH,CSR-SH,GFZ-SH)和三种质量集合斑块(Mass Concentration Blocks, Mascons)数据(JPL-M, CSR-M, GSFC-M)。评估结果表明:三种机器学习方法在湿润及人类活动干扰较少的区域有较好的效果,整体上DNN和SARIMAX模型表现优于MLR模型;使用Mascons数据的模型表现优于使用SH数据的模型;不同模型和数据在不同流域的表现差异较大。本研究对GRACE与GRACE-FO之间的数据重建提供了基本方法和数据,并为全球和区域性研究对GRACE数据的选择提供科学参考依据。
本研究使用了DNN、MLR,以及SARIMAX三种机器学习方法对GRACE数据进行重建研究。DNN模型能够为复杂非线性系统建模,MLR模型能够模拟多个自变量与因变量之间的线性关系,SARIMAX模型通过变量的自回归关系预测样本外数据,并结合外部变量提高模型的预测能力。模型驱动数据包括ERA-Interim的降水和气温数据,GLDAS Noah的陆地水储量(包括1–200 mm的土壤湿度、林冠截留水量和雪水当量)数据。本研究的具体流程如图1所示。

图1. GRACE数据重建流程图
本研究选择了全球60个流域为研究区(如图2所示)。基于不同的水文特征,所选流域覆盖了不同的气候类型、灌溉面积及流域面积。根据干燥指数(Aridity Index, AI)的大小,将研究流域划分为湿润 (Humid basin, AI > 0.65)、半湿润 (Subhumid basin, 0.5 < ai < 0.65)、半干旱 (semiarid basin, 0.2 < ai < 0.5)和干旱流域(arid basin, ai < 0.2)。

图2. 全球60个流域分布图。H代表湿润流域(Humid basin),SH代表半湿润流域(Subhumid basin),
SA代表半干旱流域(Semiarid basin),A代表干旱流域(Arid basin)
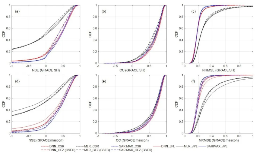
本研究在格网尺度和流域尺度分别评估了不同数据及不同模型的重建效果。模型评估指标包括纳什系数(Nash–Sutcliffe Efficiency, NSE),相关系数(Correlation Coefficient, CC),以及标准化均方根误差(Normalized RMSE, NRMSE)。图3为格网尺度六种GRACE数据三种模型评估指标的累计分布曲线(Cumulative distribution function, CDF)。
从图3中可以看出,基于DNN和SARIMAX模型的CDF曲线分布较一致,且都明显优于MLR的CDF曲线,表明DNN和SARIMAX模型具有更好的表现。此外,CDF曲线在不同的指标值上有交叉,表明各模型在不同指标值上表现各异。以评估指标NSE的CDF曲线为例,基于GRACE SH数据的SARIMAX模型模拟中,全球NSE>0.4的格网有46–56%。而在DNN和MLR模型中,该比例分别是46–55% 和23–29%;对于GRACE Mascon数据,全球格网NSE>0.4的百分比分别有54–58%(SARIMAX模型),48–56%(DNN模型)以及21–26%(MLR模型)。

图3. 基于DNN,MLR及SARIMAX模型及六种GRACE数据的3种指标(NSE,CC, NRMSE)的累积分布曲线
流域尺度的评估能够对不同模型和数据提供更为综合的对比分析。我们进一步对全球60个流域的重建结果进行了评估。不同水文特征的流域其水储量变化特征不同,重建效果也有所差异。图4为基于6种不同GRACE数据的模型评估指标(NSE,CC,NRMSE)在60个流域的统计箱线图。从图中可以看出,DNN和SARIMAX模型的表现明显优于MLR模型,其NSE指标中值的平均值分别约为0.7(DNN和SARIMAX)和0.4(MLR)。此外,DNN模型的表现略优于SARIMAX模型,其NSE/CC中值的平均值分别为0.72/0.89(DNN)和0.68/0.85(SARIMAX)。对于不同GRACE数据源的重建结果,Mascon数据的表现整体上优于SH数据,基于Mascon数据重建结果的NSE中值和CC中值的平均值均高于基于SH数据的重建结果。DNN模型的NRMSE中值略低于SARIMAX模型,且显著高于MLR模型。在三个SH数据中,基于GFZ-SH数据的模型整体上表现最好,而基于GSFC-M数据的模型优于基于其他两种Mascon数据的模型。

图4. 三个模型(DNN,MLR,SARIMAX) 三个评估指标(NSE,CC,NRMSE)在60个流域的箱线图
为进一步评估不同模型及数据在不同流域的表现,我们对比了60个流域评估指标与流域特征的相关性,如图5所示。整体上,在较湿润且人类活动较少的流域,模型模拟效果较好,如Amazon流域(ID: 1,NSE: 0.51–0.89,AI: 1.62,IRR: 1.02%)、N.Dvina流域(ID: 42,NSE: 0.76–0.92,AI: 0.93,IRR: 0.03%),以及Volga流域(ID: 16,NSE: 0.86–0.95,AI: 0.77,IRR: 0.5%)等。而在一些较为干旱的流域,模型表现并不理想,其评估指标显示为负值,如黄河流域 (ID: 23)、Colorado流域(ID: 26)、Tamanraset 流域(ID: 12)。此外,对于一些灌溉密集的流域,不同模型的表现差异较大,如著名的Indus流域(ID: 19),其灌溉面积百分比达到了流域总面积的38%,且属于半干旱流域(AI: 0.26)。从图5中可以看出,DNN和SARIMAX模型在该流域的模拟效果明显优于MLR模型,可能原因是不同模型的物理机制不同。DNN模型能够模拟输入变量与目标变量的非线性关系,优于只能模型线性关系的MLR模型。SARIMAX模型不仅能够模拟输入变量与目标变量的关系,还采用目标变量的自相关性来提高模型模拟效果。因此,尽管SARIMAX也采用线性模拟,但其内部变量的自相关有可能在某些区域有决定性作用。例如在Indus流域,灌溉耗水具有高度的自相关性,这也可能是SARIMAX具有较好模拟效果的主要原因。

图5. 基于6种不同GRACE数据的DNN、MLR和SARIMAX模型在60个流域的NSE值及其相关的AI值和灌溉面积百分比。
其中横坐标代表流域序号,蓝色曲线为AI值,橘色线条为灌溉面积百分比(以IRR表示)
为进一步评估模型模拟效果,我们对比了海河流域DNN模拟TWSA值与实测地下水储量距平值(Ground Water Storage Anomaly,GWSA)的关系,如图6所示。地下水数据来自于《中国地质环境监测地下水位年鉴》的地下水埋深数据,共计130个钻井,时间序列为2005–2016年。地下水储量通过地下水位与其对应的给水度相乘估算,地下水储量距平由地下水储量与其平均值的偏差计算得到。整体上,有70%的监测站点显示了正相关,表明DNN模型结果较好。值得一提的是,该流域灌溉用水与城市用水加剧,导致地下水超采严重。实测地下水位钻井到达的地下深度,并不能完全包含地下水提取的深度。因此造成实测GWSA与模拟TWSA的差别,尤其是用水量很大的超大城市(如北京和天津)。此外,模拟值与观测值在山前地区的不一致性,也可能是海河流域以西(山西省)的煤矿开采导致。其质量变化可以被GRACE卫星监测到,但不能通过实地水位测量获得。

图6. 海河流域DNN模拟TWSA与实测地下水GWSA的相关系数。
点为每个钻井的位置(共计130个钻井),点的颜色变化代表其相关系数的强弱。图中左上角注明为GRACE的数据源
在流域尺度上以Amazon流域为例(图7)。在研究时段内(2002.4–2018.8),不同模型及数据得到的模拟结果整体上保持一致的波动。在训练阶段,DNN和MLR模拟结果都有较好的表现(平均NSE/CC值分别为0.80/0.94和0.83/0.92),且都显著优于Noah TWSA与观测值的评估指标(NSE/CC平均值为0.65/0.87)。在验证阶段,虽然评估指标有所降低,但依然优于Noah TWSA与观测值的NSE和CC值。对于去季节的时间序列,DNN和SARIMAX模拟值与观测值也较一致,其NSE/CC平均值分别为0.24/0.67和0.59/0.81。相比于Noah TWSA,基于GRACE SH的DNN模拟结果与观测值有更高的一致性。这也证实了使用机器学习模型重建GRACE数据的可靠性。

图7. Amazon流域模拟值与GRACE观测值(左),以及去季节的模拟值与观测值(右)对比。
蓝色虚线为GLDAS Noah TWSA值,黑色实线为GRACE观测值
本研究基于机器学习理论重建了GRACE水储量变化数据,研究结果证实了模型的总体可靠性。本研究方法可作为填补GRACE与GRACE-FO缺失时段数据的参考,也可用于回推GRACE卫星发射之前的陆地总水储量变化数据。机器学习模型在样本量充足的情况下,能够较好地模拟输入数据与输出数据的关系,相比于物理模型有可能取得更好的模拟效果。在遥感大数据的发展及机器学习理论不断深入的背景下,机器学习逐渐成为水文水资源研究中不可或缺的手段。经回推或重建的GRACE数据能够用于模拟全球和流域的总水储量变化,为长时间的相关研究提供了数据支撑,也为GRACE观测数据的推广应用进一步奠定基础。
关于本研究的具体方法及讨论可点击“阅读原文”进行查看。所生成的数据和机器模型程序可以向作者索取。本研究承蒙基金委优青(51722903)、面上(51579128)、重点(51620105003和91547210)项目支持,在此谨致谢忱!
文献引用:
Sun, Z., *Long, D., Yang, W., Li, X., & Pan, Y. (2020). Reconstruction of GRACE data on changes in total water storage over the global land surface and sixty basins.Water Resources Research, 56, e2019WR026250. https://doi.org/10.1029/2019WR026250.
论文全文链接:
https://agupubs.onlinelibrary.wiley.com/doi/abs/10.1029/2019WR026250
本推送内容原创。 整理:孙章丽、龙笛、张才金。